发布日期:2021-07-15
浏览次数:1379
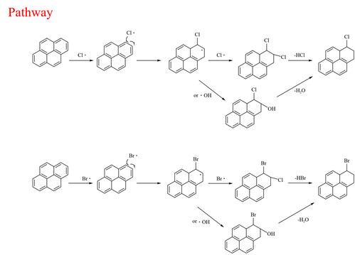
卤代多环芳烃(HPAHs)(ClPAHs和BrPAHs),作为燃烧过程副产品及光化学反应产物,是一类具有一个或多个卤素取代基的致癌化合物,是多环芳香烃(PAHs)卤化衍生物。HPAHs可以在工业过程中存在PAHs和卤素时形成,也可以通过PAHs和卤素之间的(光)化学反应在环境空间中形成。HPAHs因其毒性、远距离传输及生物积累的特性而备受关注,被认为是一种新兴的持久性有机污染物。目前HPAHs已在各种环境基质中被检测到,包括大气、水、沉积物和生物介质。然而,非常有限的报道对它们的来源、环境行为和跨介质迁移转化过程仍缺乏全面的认识。针对这个问题,团队全面调研了相关文献,整理并归纳全球范围内不同介质中HPAHs赋存特征(图1)、并分析其潜在的来源(图2)、影响因素及可能形成途径(图3)。此外,为更好地了解HPAHs,进一步介绍其毒性和致毒机理(图4)、人类的暴露途径(图5)及针对不同介质所应用的分析方法。

图1. 全球不同介质ClPAHs和BrPAHs的分布特征。(A:大气,B:水体,C:沉积物,D:生物)

图2. HPAHs的来源

图3 HPAHs (ClPAHs和BrPAHs)形成路径

图4. HPAHs的代谢激活路径(X: Cl or Br)

图5. 人类HPAHs暴露途径
该论文有助于研究者了解环境中HPAHs的概貌,通过熟悉该研究领域的背景、问题,为后续研究海洋新型污染物寻找新的立足点和突破点奠定理论基础,为学校发展海洋与环境结合的特色学科做出贡献。
(撰稿:环境科学系)